Introduction
Sézary syndrome (SS) is an aggressive, leukemic subtype of cutaneous T-cell lymphoma (CTCL) with a median survival of 3-5 years. Approved therapies include skin-directed therapy, radiation, and systemic therapies such as chemotherapy, histone deacetylase (HDAC) inhibitors, interferon, extracorporeal photopheresis (ECP), and oral retinoids. There is no consensus first-line therapy for SS and there is limited data regarding prognostic biomarkers. We assessed treatment patterns, outcomes, and racial differences at our institution.
Methods
We performed a retrospective review of 62 patients at Winship Cancer Institute of Emory University from 1990-2020 with a confirmed diagnosis of SS. Clinical data collected from the electronic medical record included demographics, baseline laboratory values, disease characteristics, and therapy. Clinical outcomes were measured by overall survival (OS) and time to next treatment (TTNT). OS was measured from time of diagnosis to date of death or last follow-up. TTNT was defined as the number of months from the start of the first line of therapy until the initiation of the subsequent therapeutic regimen. Descriptive analysis was performed for each variable and a comparison between African American (AA) and white patients was performed using ANOVA for numerical covariates and chi-square test or Fisher's exact test for categorical covariates. Kaplan-Meier curves for OS and TTNT were generated for the whole cohort. A Kaplan-Meier curve was also generated to compare time from diagnosis to initiation of first systemic therapy stratified by race along with the log-rank p-value. The univariate association of baseline variables with OS and TTNT was assessed by Cox proportional hazards models and the multivariable analyses (MVA) were performed on variables that had p-value less than 0.05 on univariate analyses.
Results
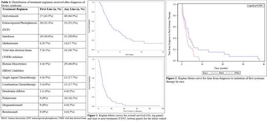
Males made up (58.1%) of our patients and the median age at diagnosis was 65.9 years. Nearly one-half (45.2%) of patients were AA. The median Sézary count at diagnosis was 1320 cells/uL. The median time from diagnosis to first systemic therapy was 2.4 months and the median number of systemic therapies was 3.0. Information regarding systemic treatments received after diagnosis is presented inTable 1. The most common first-line systemic therapies were oral retinoids (43.5%), ECP (32.3%), and interferon (30.6%). HDAC inhibitors and total skin electron beam (TSEB) radiation were common treatments beyond first line (46.8% received HDAC inhibitors, 38.7% received TSEB), but were rarely used in the first-line setting. The median OS and TTNT were 3.1 years and 6.3 months, respectively(Figure 1). In MVA, elevated WBC and LDH were significantly associated with shorter OS (WBC HR: 1.05, 95% CI: 1.01-1.08, p=0.01; LDH HR: 1.003, 95% CI: 1.001-1.005, p=0.011) and shorter TTNT (WBC HR: 1.04, 95% CI: 1.002-1.08, p=0.041; LDH HR: 1.002, 95% CI: 1.001-1.004, p=0.048). In analysis by race, AA patients had a higher proportion of females compared to non-hispanic white patients (53.6% vs 28.1%, p=0.045). AA patients also had lower median hemoglobin at diagnosis (12.6 vs 14.3, p=0.036), higher median LDH at diagnosis (360 vs 232, p=0.002), and longer median time from diagnosis to first systemic therapy compared to non-hispanic white patients (3.17 months vs 2.14 months, p=0.039,Figure 2).
Conclusions
SS is an aggressive subtype of CTCL with no consensus first-line therapy and limited data on prognostic biomarkers. In our cohort, oral retinoids, ECP, and interferon were the most commonly utilized treatments in the first-line setting. Elevated WBC and LDH were significantly associated with both OS and TTNT which suggests that these may have value as prognostic biomarkers in SS. AA patients may have delayed time from diagnosis to starting systemic therapy and higher LDH at diagnosis. This data is hypothesis-generating and should be validated in larger, prospective studies.
Allen:Bayer:Consultancy, Other;Imbrium:Consultancy, Other;Research to Practice:Speakers Bureau;Clinical Care Options:Speakers Bureau;Curio Sciences:Honoraria.
Author notes
Asterisk with author names denotes non-ASH members.
